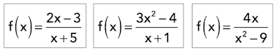
DOMINIO DE UNA FUNCIÓN
- Asíntotas y esbozo de la función :
- Asíntotas y esbozo de la función :
COMPOSICIÓN DE FUNCIONES
INVERSA DE UNA FUNCIÓN
ESTUDIO DESCRIPTIVO DE UNA FUNCIÓN
INVERSA DE UNA FUNCIÓN
ESTUDIO DESCRIPTIVO DE UNA FUNCIÓN
- Funciones afines. Tablas de VALORES
- Dibujo de una función AFÍN CON TABLA
- Dibujo de una función AFÍN SIN TABLA
- Dibujo de una función con VALOR ABSOLUTO
- Dibujo de una PARÁBOLA (función cuadrática)
- Dibujo de una función de PROPORCIONALIDAD INVERSA













No hay comentarios:
Publicar un comentario